
A brief introduction




| songwriting | production | vocals | |
|---|---|---|---|
| songwriting | production | vocals | |
|---|---|---|---|
| songwriting | production | vocals | |
|---|---|---|---|
| songwriting | production | vocals | |
|---|---|---|---|

Item structure: Which skills are measured by each item?
Defined by Q-matrix
Interactions between attributes when an item measures multiple skills driven by cognitive theory and/or empirical evidence
| item | songwriting | production | vocals |
|---|---|---|---|
| 1 | 1 | 0 | 0 |
| 2 | 0 | 0 | 1 |
| 3 | 0 | 1 | 0 |
| 4 | 1 | 1 | 0 |
| 5 | 1 | 0 | 1 |
| 6 | 0 | 1 | 0 |
| 7 | 0 | 1 | 0 |
| 8 | 1 | 0 | 1 |
| 9 | 0 | 0 | 1 |
| 10 | 1 | 0 | 1 |
| 11 | 1 | 1 | 0 |
| 12 | 0 | 1 | 1 |
| 13 | 0 | 0 | 1 |
| 14 | 1 | 0 | 1 |
| 15 | 1 | 1 | 0 |
| 16 | 0 | 1 | 0 |
| 17 | 1 | 0 | 0 |
| 18 | 1 | 1 | 0 |
| 19 | 1 | 0 | 0 |
| 20 | 1 | 0 | 1 |
| 21 | 0 | 0 | 1 |



Success depends on:
When the goal is to place individuals on a scale
DCMs do not distinguish within classes
| songwriting | production | vocals | |
|---|---|---|---|

Latent class models use responses to probabilistically place individuals into latent classes
DCMs are confirmatory latent class models
Respondents (r): The individuals from whom behavioral data are collected
Items (i): Assessment questions used to classify/diagnose respondents
Attributes (a): Unobserved latent categorical characteristics underlying the behaviors (i.e., diagnostic status)
With binary attributes, there are 2A possible profiles
Example 3-attribute assessment:
[0, 0, 0]
[1, 0, 0]
[0, 1, 0]
[0, 0, 1]
[1, 1, 0]
[1, 0, 1]
[0, 1, 1]
[1, 1, 1]
\[ \color{#D55E00}{P(X_r=x_r)} = \sum_{c=1}^C\color{#009E73}{\nu_c} \prod_{i=1}^I\color{#56B4E9}{\pi_{ic}^{x_{ir}}(1-\pi_{ic})^{1 - x_{ir}}} \]
\[ \color{#D55E00}{P(X_r=x_r)} = \sum_{c=1}^C\color{#009E73}{\nu_c} \prod_{i=1}^I\color{#56B4E9}{\pi_{ic}^{x_{ir}}(1-\pi_{ic})^{1 - x_{ir}}} \]
Structural component: Proportion of examinees in each class\[ \color{#D55E00}{P(X_r=x_r)} = \sum_{c=1}^C\color{#009E73}{\nu_c} \prod_{i=1}^I\color{#56B4E9}{\pi_{ic}^{x_{ir}}(1-\pi_{ic})^{1 - x_{ir}}} \]
Measurement component: Product of item response probabilities



Can be multidimensional
No continuum of student achievement
Categorical constructs
Items can measure one or both attributes
Different DCMs define πic in different ways
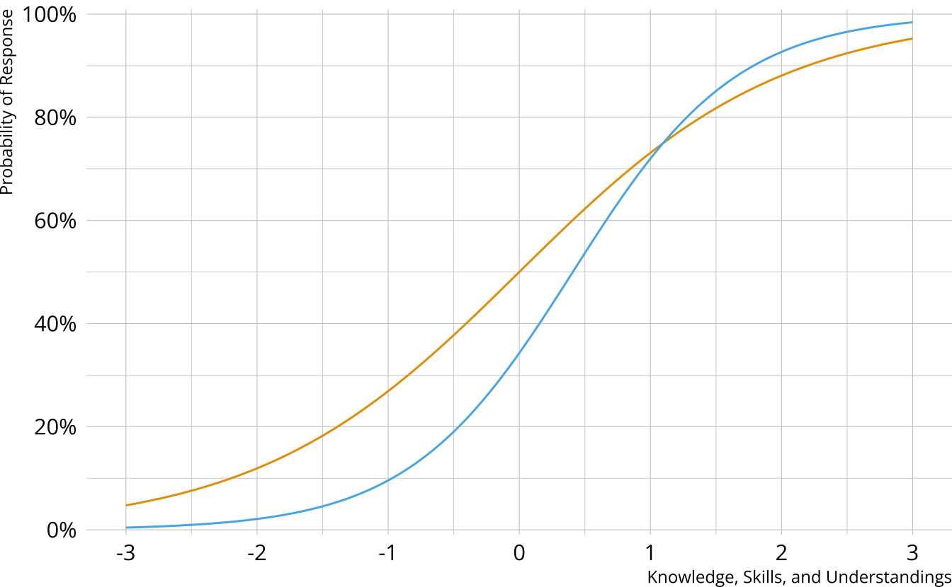
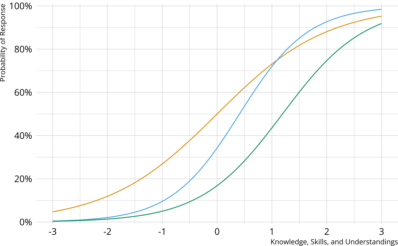
Item characteristic bar charts
Different response probabilities for each class (partially compensatory)
This will be our focus

Item measures only 1 attribute
\[ \text{logit}(X_i = 1) = \color{#D7263D}{\lambda_{i,0}} + \color{#219EBC}{\lambda_{i,1(1)}}\color{#009E73}{\alpha} \]
Item measures multiple attributes
\[ \text{logit}(X_i = 1) = \color{#D7263D}{\lambda_{i,0}} + \color{#4B3F72}{\lambda_{i,1(1)}\alpha_1} + \color{#9589BE}{\lambda_{i,1(2)}\alpha_2} + \color{#219EBC}{\lambda_{i,2(1,2)}\alpha_1\alpha_2} \]
Attribute and item relationships are defined in the Q-matrix
Q-matrix
So called “general” DCM because the LCDM subsumes other DCMs
Constraints on item parameters make LCDM equivalent to other DCMs (e.g., DINA and DINO)
Respondent estimates come from combining the estimated model parameters with the response data
For DCMs, a similar process to that for IRT
Multiply the ICCs together
Student estimate is the peak of the curve
Spread of the curve represents uncertainty in estimate






Songwriting: 84.2%
Production: 45.4%
Vocals: 88.4%
| songwriting | production | vocals | probability |
|---|---|---|---|
| 0 | 0 | 0 | 0.012 |
| 1 | 0 | 0 | 0.055 |
| 0 | 1 | 0 | 0.007 |
| 0 | 0 | 1 | 0.062 |
| 1 | 1 | 0 | 0.042 |
| 1 | 0 | 1 | 0.416 |
| 0 | 1 | 1 | 0.077 |
| 1 | 1 | 1 | 0.328 |
| 0.842 |
| songwriting | production | vocals | probability |
|---|---|---|---|
| 0 | 0 | 0 | 0.012 |
| 1 | 0 | 0 | 0.055 |
| 0 | 1 | 0 | 0.007 |
| 0 | 0 | 1 | 0.062 |
| 1 | 1 | 0 | 0.042 |
| 1 | 0 | 1 | 0.416 |
| 0 | 1 | 1 | 0.077 |
| 1 | 1 | 1 | 0.328 |
| 0.454 |
| songwriting | production | vocals | probability |
|---|---|---|---|
| 0 | 0 | 0 | 0.012 |
| 1 | 0 | 0 | 0.055 |
| 0 | 1 | 0 | 0.007 |
| 0 | 0 | 1 | 0.062 |
| 1 | 1 | 0 | 0.042 |
| 1 | 0 | 1 | 0.416 |
| 0 | 1 | 1 | 0.077 |
| 1 | 1 | 1 | 0.328 |
| 0.884 |
Diagnostic classification models
A brief introduction